• Предмет: Математика
  • Автор: VicusaSi
  • Вопрос задан 8 лет назад

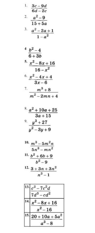
Помогите пажалуйста
Сенкью​

Приложения:

Ответы

Ответ дал: sidagulovtoktar3
0

Ответ:

Пошаговое объяснение:с чем

Вас заинтересует