Ответы
Ответ дал:
0
Ответ:
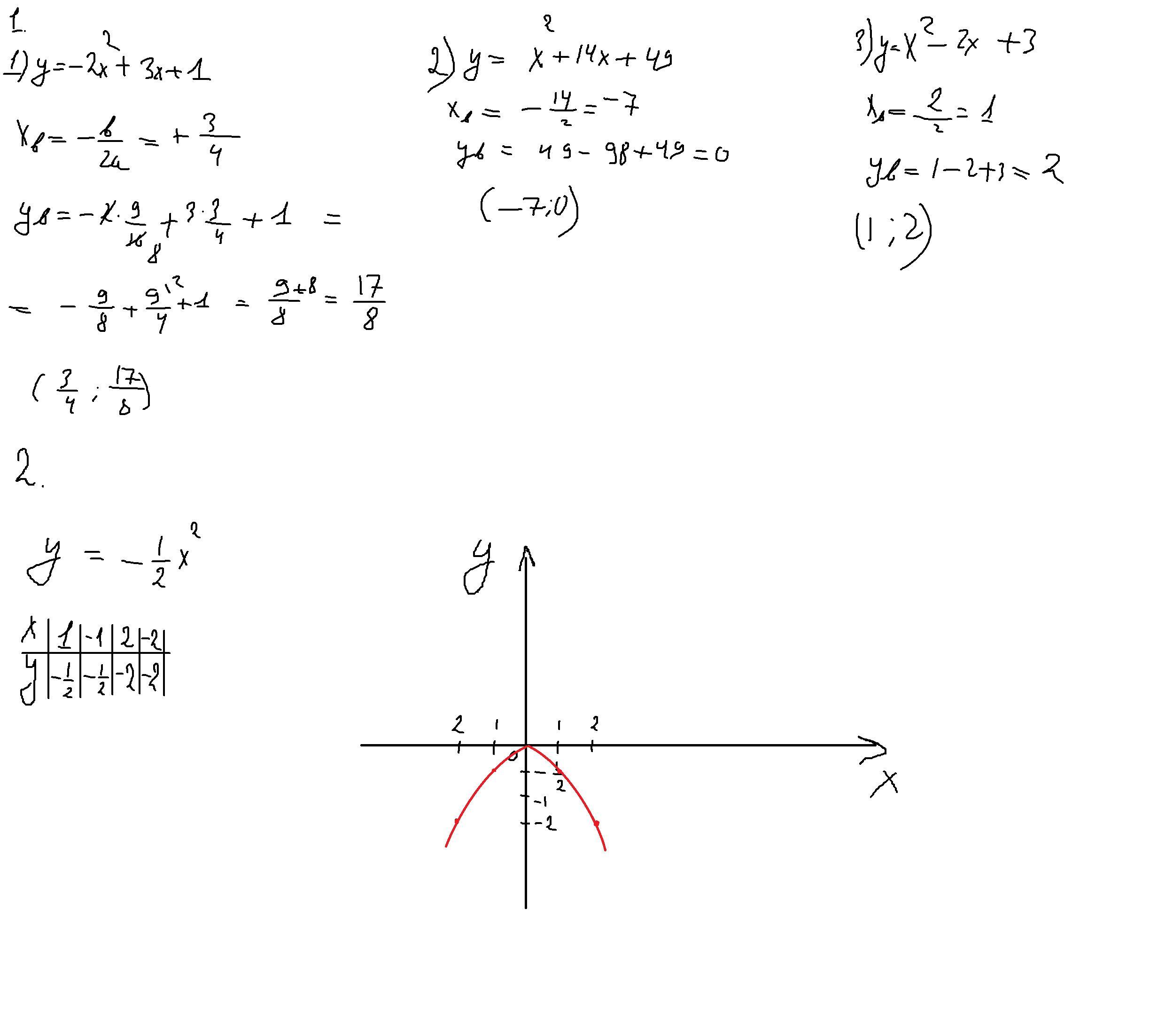
1. 1) (3/4 ; 17/8) 2) (-7 ; 0) 3) (1 ; 2)
Объяснение:
В первом задании находим Х вершины по формуле Хв = -b/2a, после чего подставляем это значение вместо икса и получаем У вершины.
Во втором задании координаты вершины параболы (0 ; 0), ветви параболы направлены вниз, возрастает от -бесконечности до 0, убывает от 0 до +бесконечности
Приложения:

Вас заинтересует
3 года назад
8 лет назад