• Предмет: Алгебра
  • Автор: eva3171
  • Вопрос задан 8 лет назад

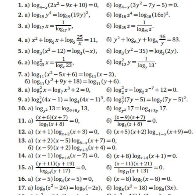
Помогите решить, или объясните как, пожалуйста.

Приложения:

Ответа на этот вопрос пока нет. Попробуйте найти его через форму поиска.

Вас заинтересует