• Предмет: Химия
  • Автор: tatttt
  • Вопрос задан 8 лет назад

60 баллов!!!!! помогите срочно пожалуйста
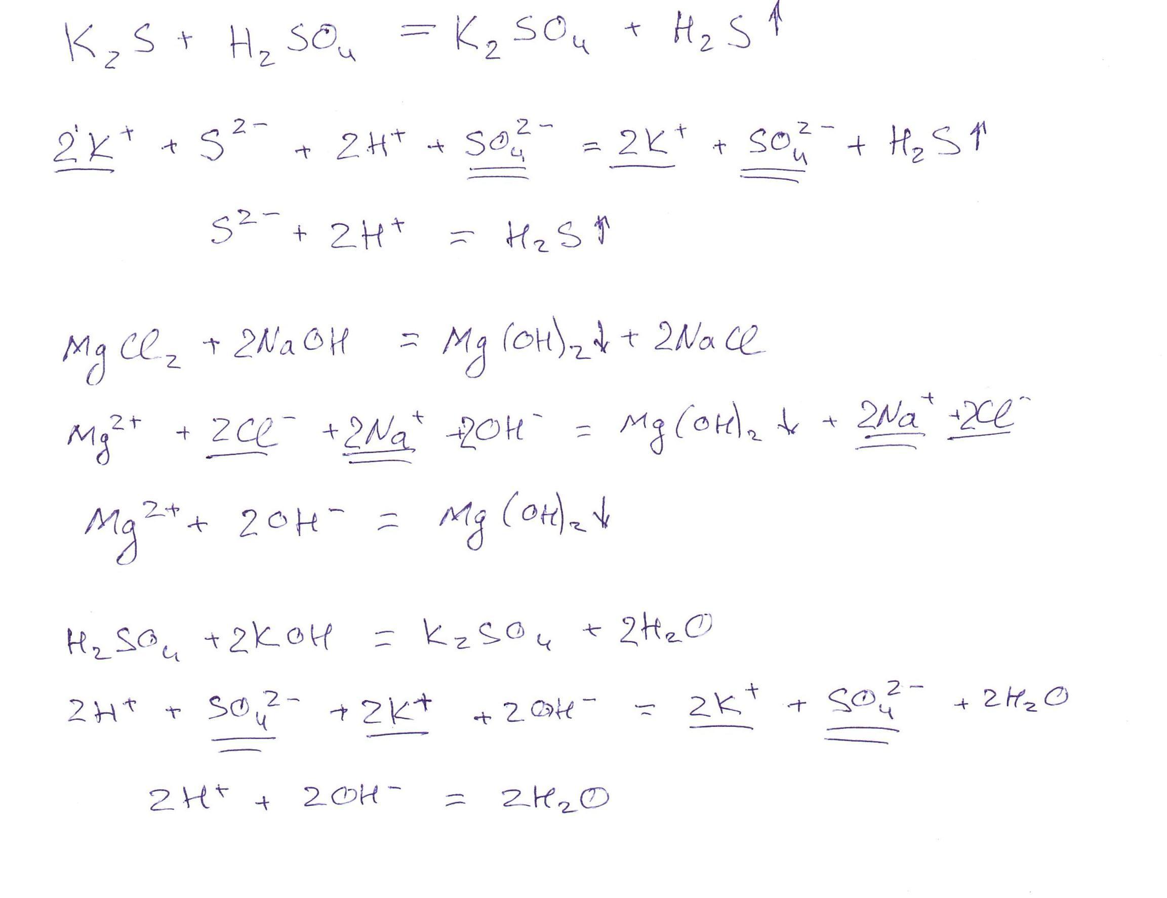
Для каждой из предложенных схем запишите молекулярные, полные и сокращенные
ионные уравнения.
1) сульфид калия + серная кислота = сульфат калия + сероводород
2) хлорид магния + гидроксид натрия = гидроксид магния + хлорид натрия
3) серная кислота + гидроксид калия = сульфат калия + вода

Ответы

Ответ дал: KrioAn
0

Ответ:

Ответ в файле

Объяснение:

Приложения:
Вас заинтересует