Ответы
Ответ дал:
1
Ответ:
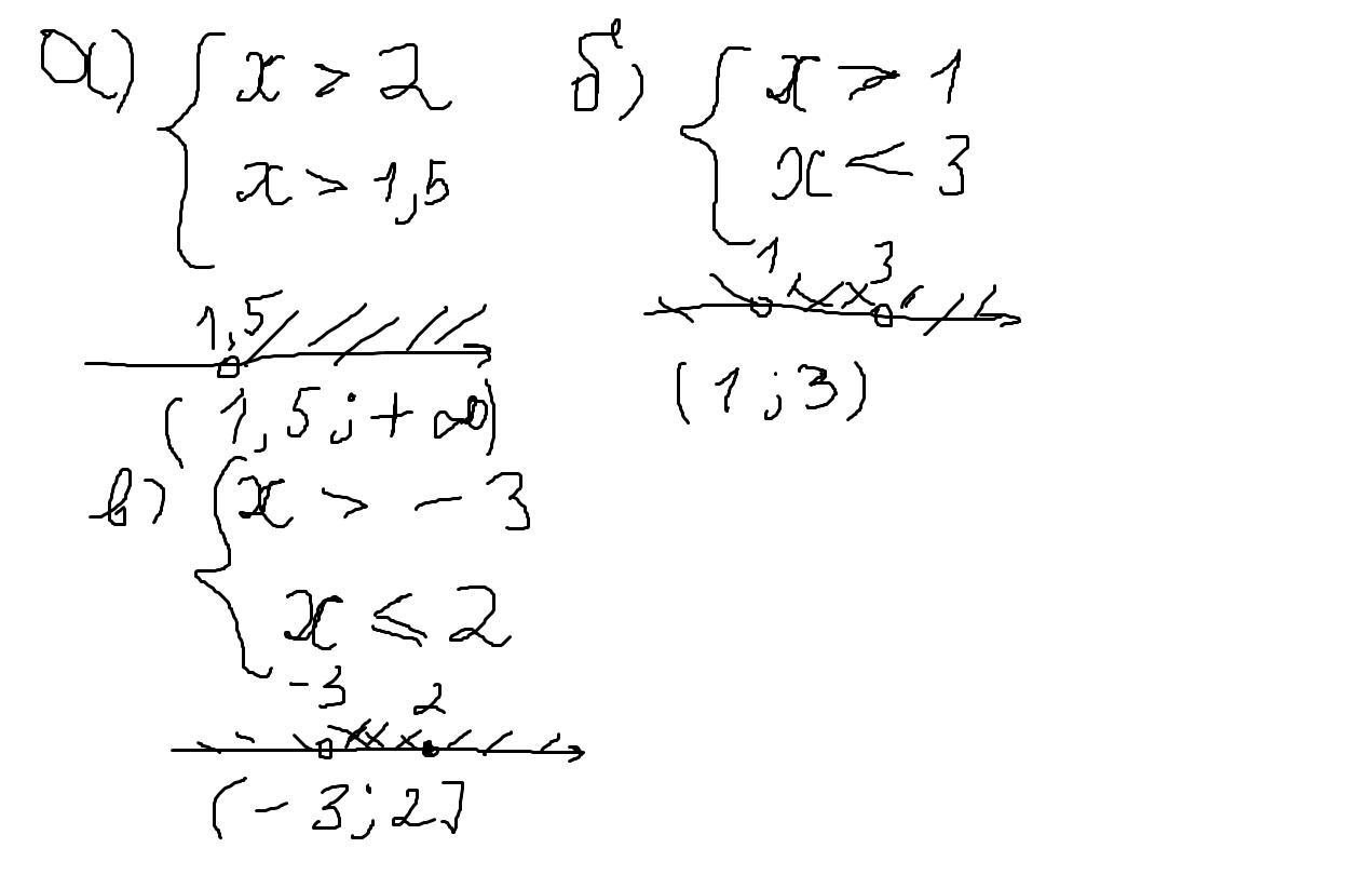
на ФОТО
Обьяснения:
Приложения:

alnabelkina2004bkry:
Благодарю очень выручил
Вас заинтересует
1 год назад
1 год назад
1 год назад
1 год назад
3 года назад
8 лет назад