• Предмет: Алгебра
  • Автор: net228
  • Вопрос задан 8 лет назад

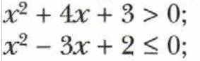
Решить неравенство методом интервалов

Приложения:

Ответы

Ответ дал: table123
0

Ответ:

Объяснение:

корни  x=-3  x -1,   \\\\+\\\\|(-3)____-___(-1)\\\+\\\ ,  

отв. (-~;-3),  (-1;+~)

корни  x=1,  x=2,   _____+____[1]\\\-\\\\[2]____+____ ,

отв.  [1;2]

Вас заинтересует