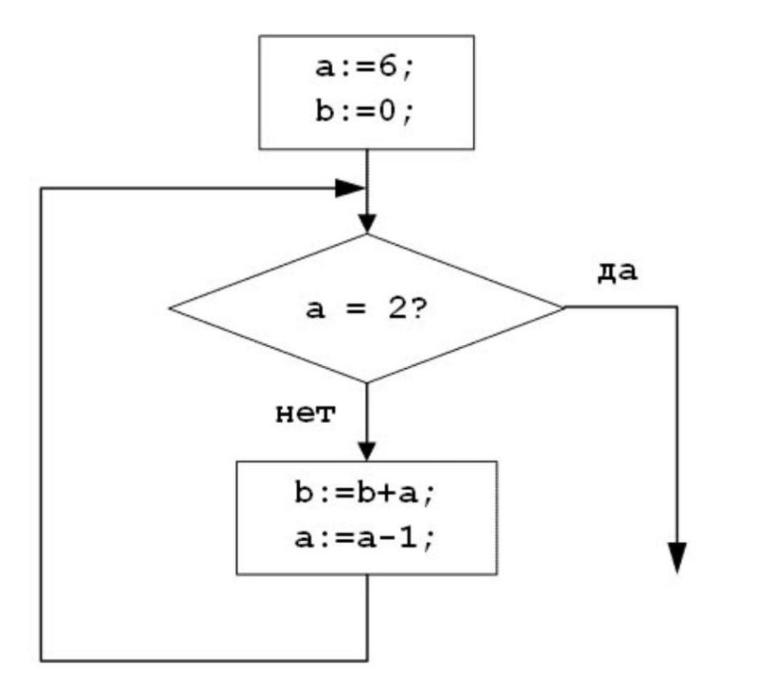
Определите значение переменной «b» после выполнения фрагмента алгоритма.

Приложения:

Ответа на этот вопрос пока нет. Попробуйте найти его через форму поиска.

Вас заинтересует