• Предмет: Математика
  • Автор: uzaypardo
  • Вопрос задан 8 лет назад

Помогите решить дифференциальные уравнения

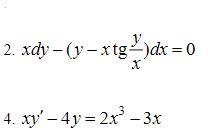
1) xdy-(y-xtg(y/x))dx=0 2) xy'-4y=2x^3-3x

Приложения:

Ответа на этот вопрос пока нет. Попробуйте найти его через форму поиска.

Вас заинтересует