• Предмет: Физика
  • Автор: korovavirus18
  • Вопрос задан 8 лет назад

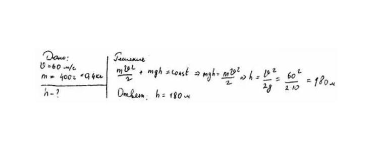
Стрела вылетает из арбалета вертикально вверх со скоростью
60 м/с. На какую высоту поднимется стрела,
ее масса 400 г? Сопротивлением воздуха можно принебречь ​

Ответы

Ответ дал: sdfghjkyt
0

Ответ:привеееееет.

Объяснение:

Приложения:
Вас заинтересует