• Предмет: Алгебра
  • Автор: gsdfyuilit62
  • Вопрос задан 2 года назад

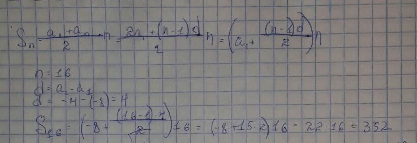
1.Найдите сумму шестнадцати первых членов арифметической прогрессии: -8; -4; 0… .

Ответы

Ответ дал: Slavchansky
2

вотттттт....................

Приложения:

gsdfyuilit62: решение можно
gsdfyuilit62: или пожалуюсь
gsdfyuilit62: спасибоооо!
Вас заинтересует