• Предмет: Алгебра
  • Автор: 69DANECHKA69
  • Вопрос задан 8 лет назад

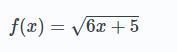
Найдите производную сложной функции:
Знайдіть похідну складеної функції:

Приложения:

Ответы

Ответ дал: ankach
0

Ответ:

3/sqrt{6x+5

Объяснение:

=1/2sqrt{6x+5}*6=3/sqrt{6x+5}

Вас заинтересует