• Предмет: Алгебра
  • Автор: daniilkot2017lis
  • Вопрос задан 8 лет назад

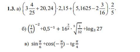
решите пожалуйста с ПОДРОБНЫМ объяснением (50б)

Приложения:

Ответа на этот вопрос пока нет. Попробуйте найти его через форму поиска.

Вас заинтересует