Ответы
Ответ дал:
0
Ответ:
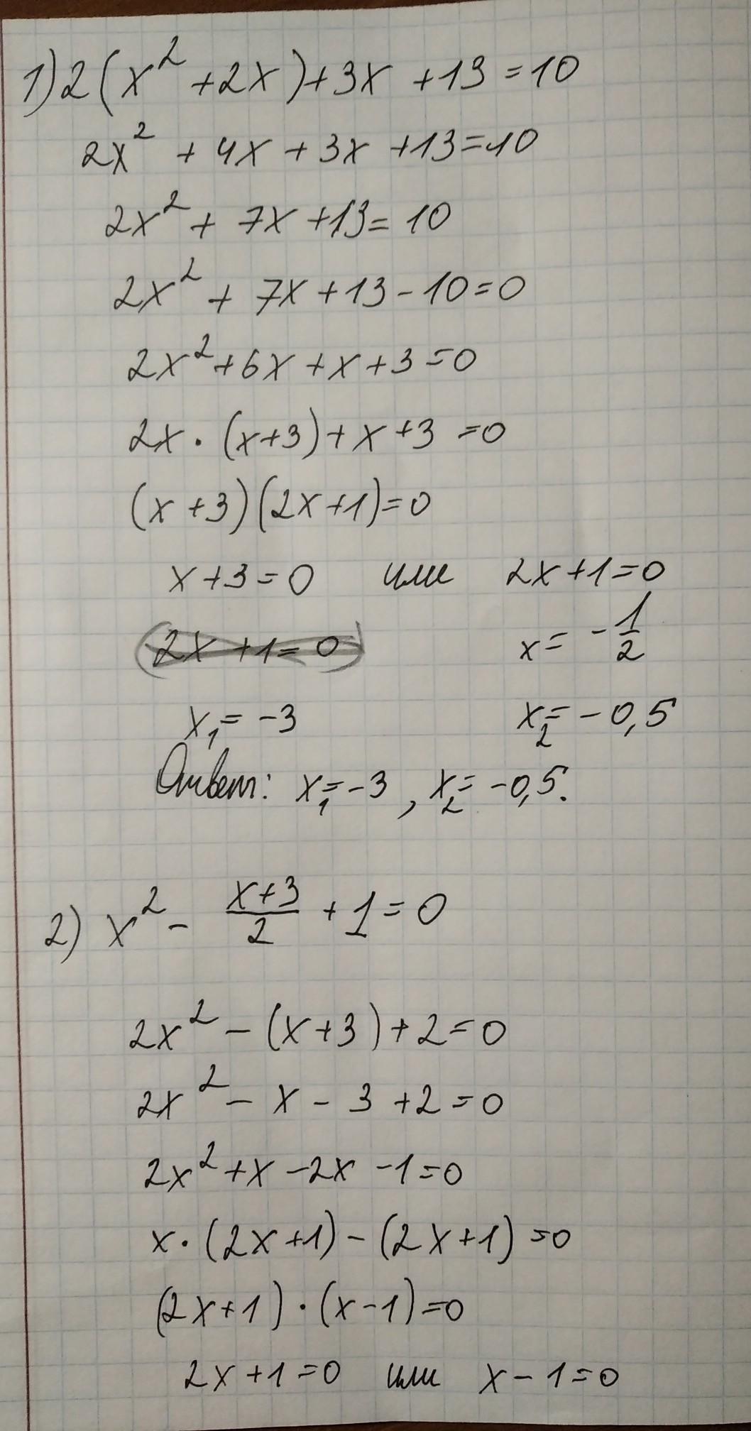
1)x1= -3 ;x2= -0.5
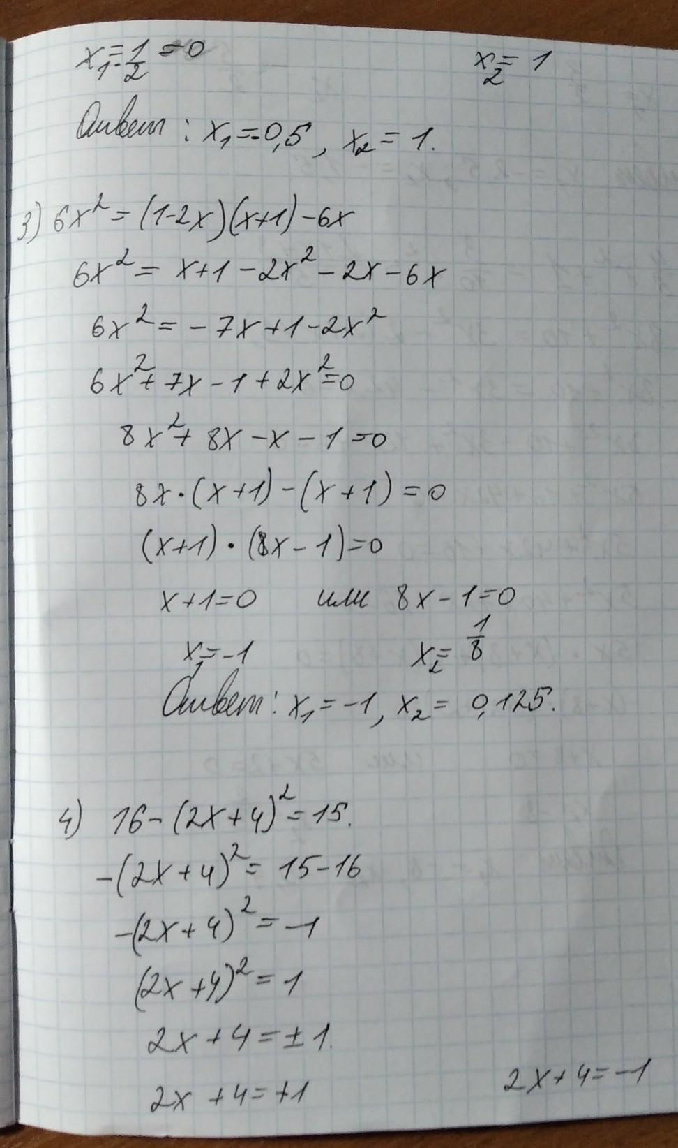
2)x1= -0.5 ;x2= 1
3)x1= -1 ;x2= 0.125
4)x1= -2.5 ;x2= -1.5
5)x1= -8 ; x2= -0.4
Объяснение:
подробное решение во вложении
Приложения:



Вас заинтересует
2 года назад
3 года назад
8 лет назад
8 лет назад
9 лет назад
9 лет назад