• Предмет: Математика
  • Автор: tttatattttatt
  • Вопрос задан 8 лет назад

ДАЮ 20 БАЛЛОВ!!!!!
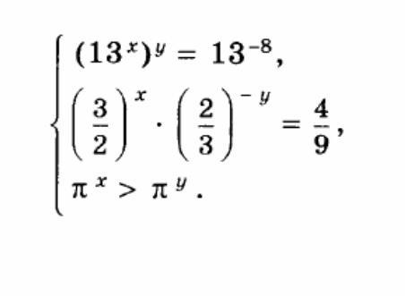
Помогите с примером

Приложения:

Ответа на этот вопрос пока нет. Попробуйте найти его через форму поиска.

Вас заинтересует