• Предмет: Математика
  • Автор: lisagoogllol
  • Вопрос задан 8 лет назад

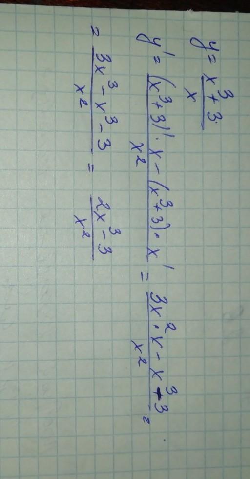
решите производную y=x^3+3/x

Ответы

Ответ дал: k4millamustafina
0

Ответ:

Пошаговое объяснение:

y=x^3+3/x\\y'=frac{3x^{4}-3 }{x^{2} }

Ответ дал: aruzhanospanova17
0

Ответ:

Ответ во вложении, надеюсь все понятно.

Приложения:
Вас заинтересует