• Предмет: Математика
  • Автор: RubberLors405
  • Вопрос задан 8 лет назад

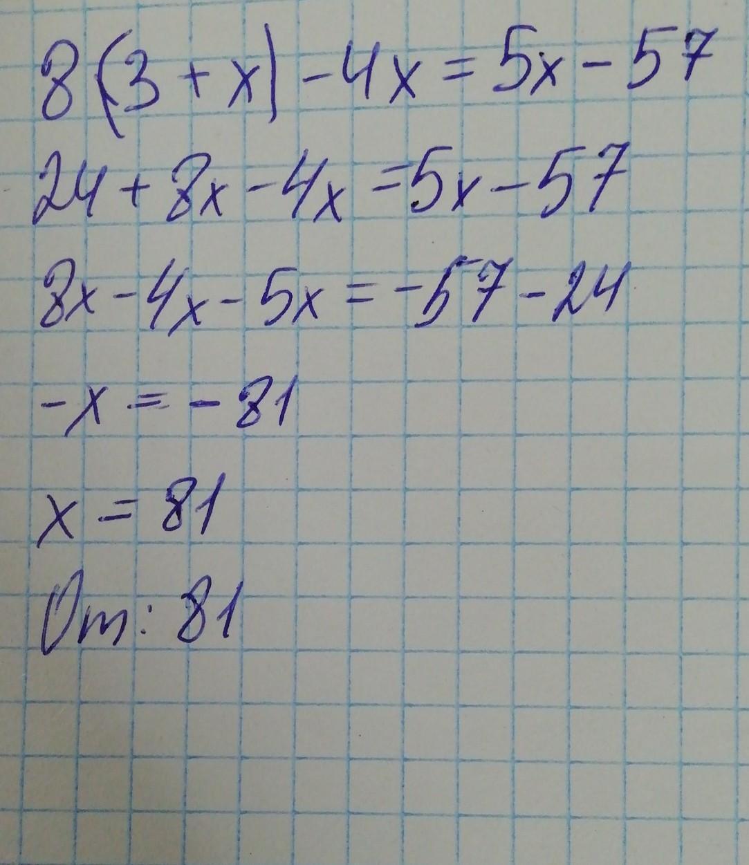
Не могу понять как это решать. 8*(3+x) -4x=5x-57

Ответы

Ответ дал: konchakovaveronika
0

Ответ:

Пошаговое объяснение:

8⋅(3+x)−4x=5x−63

24+8х-4х-5х=-63

-х=-63-24

-х=-87

х=87

Ответ дал: konchakovaveronika
0
ой, извеняюсь не то число поставила
Ответ дал: karosargsyan202092
0

Ответ:

Оценку 5 гарантирую................................

Приложения:
Вас заинтересует