100 БАЛЛОВ!!!
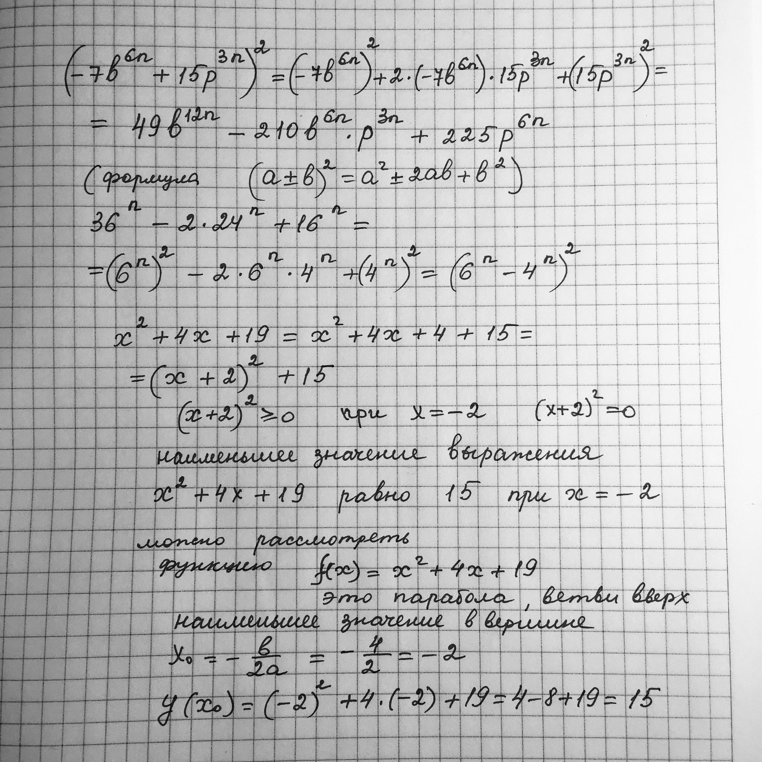
(-7b^(6n)+15p^(3n))^2
36^n-2*24^n+16^n
какое наименьшее значение и при каком значении переменной принимает выражение x^2+4x+19
Ответы
Ответ дал:
0
Ответ:
Объяснение:
...............................
Приложения:

Ответ дал:
0
1. (-7b⁶ⁿ+15p³ⁿ))²=(-7b⁶ⁿ)²+2*(-7b⁶ⁿ)*(15p³ⁿ)+(15p³ⁿ)²=
49b¹²ⁿ-210b⁶ⁿ*p³ⁿ+225p⁶ⁿ
2. 36ⁿ-2*24ⁿ+16ⁿ=(6ⁿ)²-2*6ⁿ*4ⁿ+(4ⁿ)²=(6ⁿ-4ⁿ)²
3. Выделим полный квадрат x²+4x+19=х²+2*х*2+4+15=(х+2)²+15- сумма двух выражений, одно неотрицательно, это (х+2)², наименьшее свое значение оно приобретает, когда х+2=0, т .е., когда х=-2, все остальные его значения больше нуля, отрицательным быть не может. И второе выражение - постоянное - число.= 15, оно положительно. Т.е. получаем окончательно, что выражение x²+4x+19 приобретает наименьшее значение при х=-2, и оно равно 0+15=15
Приложения:

Вас заинтересует
2 года назад
2 года назад
3 года назад
3 года назад
8 лет назад