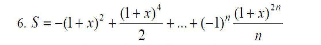
Составить программу вычисления заданных функций с использованием
определённых операторов организации циклов(while) на MatLab
Помогите решить!
Приложения:

Ответа на этот вопрос пока нет. Попробуйте найти его через форму поиска.
Вас заинтересует
2 года назад
3 года назад
3 года назад
8 лет назад
9 лет назад