• Предмет: Математика
  • Автор: sofioneod44ewa
  • Вопрос задан 8 лет назад

ПОМОГИТЕ СРОЧНО!!
ПОЖАЛУЙСТА Добрый человек

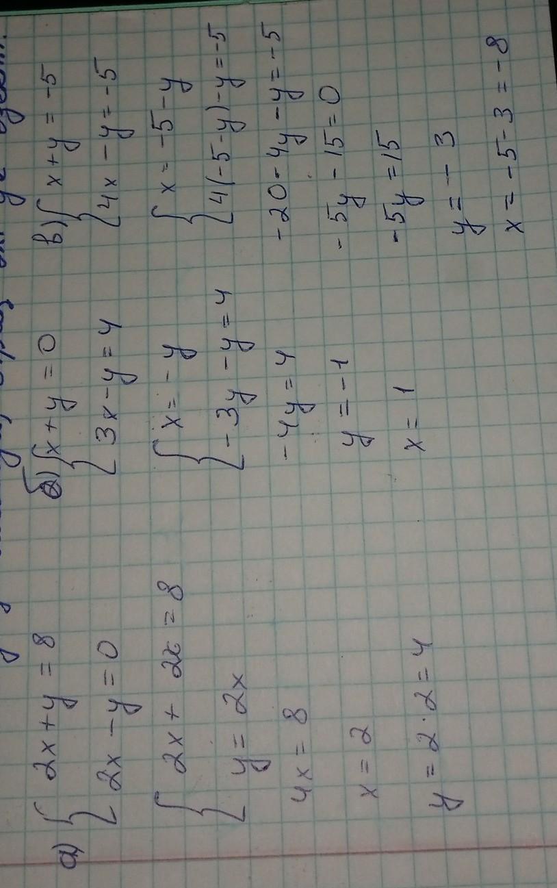
Приложения:

Ответы

Ответ дал: christinakristina314
0

Ответ:

последнего примера только нет, остальное всё

Приложения:
Вас заинтересует