• Предмет: Математика
  • Автор: Munisa200
  • Вопрос задан 8 лет назад

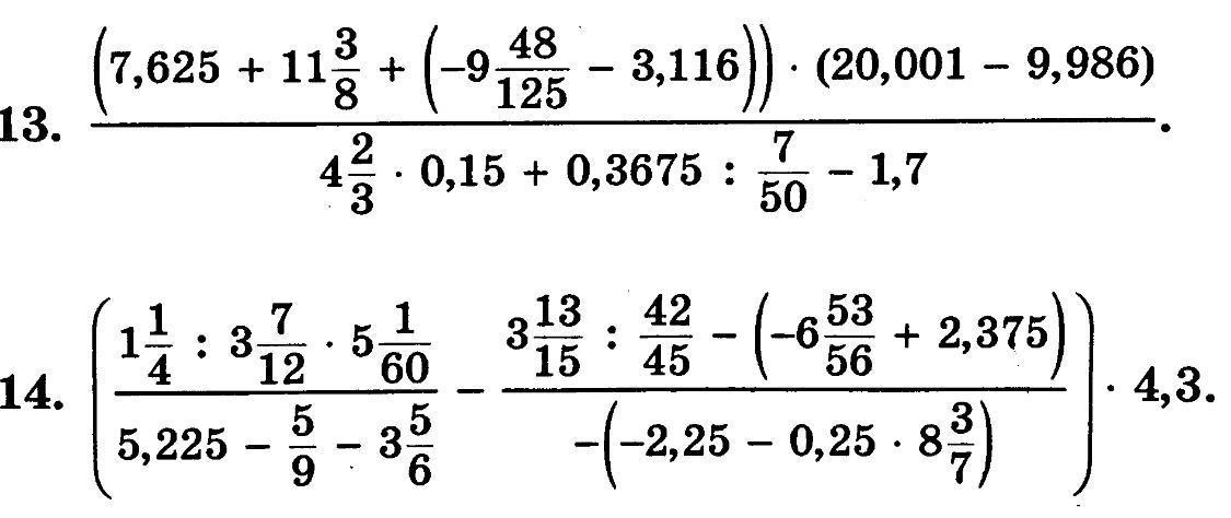
РЕБЯТА ПРОШУ ВАС ПОМОГИТЕ ПОЖАЛУЙСТА!!!!! ДАЙ БОГ ЗДОРОВЬЯ ТЕМ КТО ОТВЕТИТ

Приложения:

Ответа на этот вопрос пока нет. Попробуйте найти его через форму поиска.

Вас заинтересует