Высшая математика, HELP! Теории функций комплексной переменной
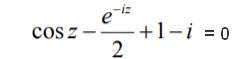
Необходимо решить уравнение, представленное в закрепе
Приложения:

Ответа на этот вопрос пока нет. Попробуйте найти его через форму поиска.
Вас заинтересует
2 года назад
3 года назад
8 лет назад