• Предмет: Химия
  • Автор: kensaittto
  • Вопрос задан 2 года назад

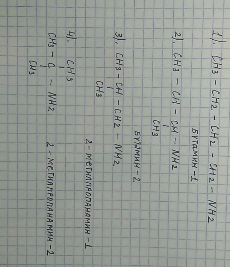
Составьте структурные формулы всех изомеров первичного амина, содержащего в
углеводородном радикале четыре атома углерода. Дайте им названия.

Ответы

Ответ дал: jkl79
2

........................................

Приложения:
Вас заинтересует