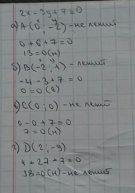
Даны точки A(0; - 2), B(- 2;1), C(0;0) и D(2; - 9). Укажите те из них, которые лежат на прямой
2x - 3y + 7 = 0.
Ответы
Ответ дал:
0
Ответ:
Лежит только точка В (-2:1)
Объяснение:
Проверка на фотографии
Приложения:

Ответ дал:
0
если смогу)
Ответ дал:
0
надеюсь сможешь?
Ответ дал:
0
К сожалению, этого я не помню. Во втором радиус точно 5
Вас заинтересует
2 года назад
3 года назад
8 лет назад
9 лет назад