• Предмет: Математика
  • Автор: vpsvtanya
  • Вопрос задан 8 лет назад

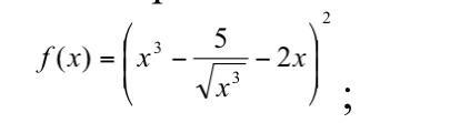
Найти производную функции

Приложения:

Ответа на этот вопрос пока нет. Попробуйте найти его через форму поиска.

Вас заинтересует