• Предмет: Математика
  • Автор: frontsovn
  • Вопрос задан 8 лет назад

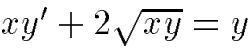
Здравствуйте! Помогите пожалуйста решить дифференциальное уравнение. xy'+2sqrt{xy} =y

Приложения:

Ответы

Ответ дал: QDominus
0

Решение приложено...

Приложения:
Вас заинтересует