• Предмет: Математика
  • Автор: andreevila824
  • Вопрос задан 8 лет назад

Пж на фото!!!!!!! Много баллов​

Приложения:

Ответы

Ответ дал: tatsach
0

Ответ:

Пошаговое объяснение:

Приложения:
Ответ дал: holahola007
0

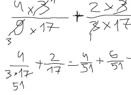
Ответ:

10/51

Пошаговое объяснение:

второй ответ

Приложения:
Вас заинтересует