Ответы
Ответ дал:
0
если что-то непонятно,то пиши.
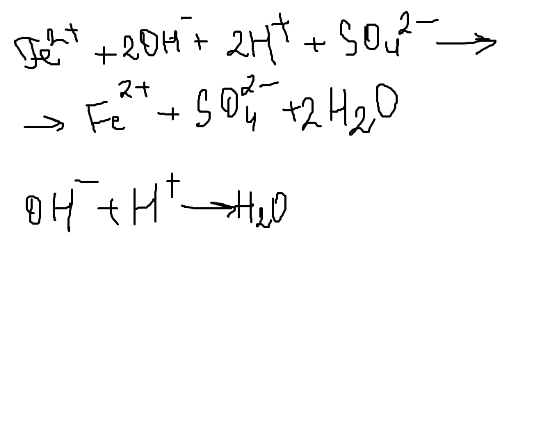
Приложения:

Ответ дал:
0
спасибо большое
Ответ дал:
0
не за что:)
Вас заинтересует
2 года назад
2 года назад
8 лет назад
8 лет назад
10 лет назад
10 лет назад