Ответы
Ответ дал:
0
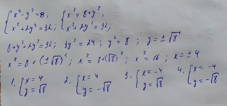
Решение приложено...
Приложения:

Ответ дал:
0
спасибо
Ответ дал:
0
Обращайся
Ответ дал:
0
Ответ:
Объяснение:
1. X=4, Y=
2. X=4, Y= -
3. X= -4, Y=
4. X= -4, Y= -
Приложения:

Вас заинтересует
2 года назад
3 года назад
3 года назад
9 лет назад