помогите пожалуйста с уравнениями (желательно с решением)
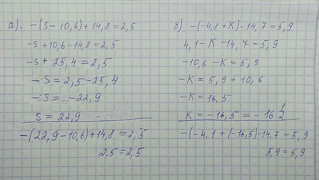
а) -(s-10,6)+14,8=2,5
б) -(-4,1+k)-14,7=5,9
Ответы
Ответ дал:
0
Ответ:
Пошаговое объяснение:
а)
-(s-10,6)+14,8=2,5
-s + 10,6 + 14,8 = 2,5
-s + 25,4 = 2,5
s = 25,4 - 2,5
s = 22,9
б)
-(-4,1+k)-14,7=5,9
4,1 - k - 14,7 = 5,9
-10,6 - k = 5,9
k = -10,6 - 5,9
k = -16,5
Ответ дал:
0
Пошаговое объяснение:
ответ на фото.
..........
Приложения:

Ответ дал:
0
спасибо огромное
Вас заинтересует
2 года назад
2 года назад
3 года назад
8 лет назад
9 лет назад