• Предмет: Математика
  • Автор: dolslslakshinalex
  • Вопрос задан 8 лет назад

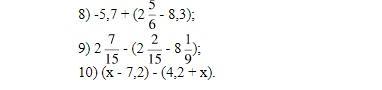
Срочно, с решением. Очень срочно

Приложения:

Ответа на этот вопрос пока нет. Попробуйте найти его через форму поиска.

Вас заинтересует