• Предмет: Математика
  • Автор: mihas070907
  • Вопрос задан 8 лет назад

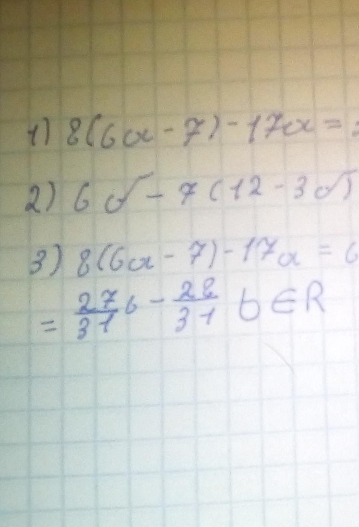
раскройте скобки и приведите подобные слагаемые:
8(6а-7)-17а=
6б-7(12-3б)

Ответы

Ответ дал: alinaburnasova1
0

Ответ:

вот я сделала если что-то не понятно пиши мне

Приложения:
Ответ дал: damirppp3
0

Ответ:

8(6а-7)-17а=48а-56-17а=31а-51

6б-7(12-3б)=6б-84+21б=27б-84

Приложения:
Вас заинтересует