45 баллов!
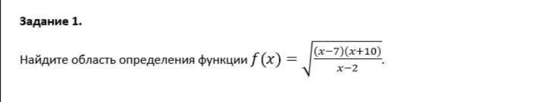
1. Найдите область определения функции.
2. Постройте график функции и найдите нули функции, промежутки знакопостоянства, промежутки возрастания и убывания функции, область значений функции.
Приложения:
Ответа на этот вопрос пока нет. Попробуйте найти его через форму поиска.
Вас заинтересует
2 года назад
2 года назад
3 года назад
3 года назад
9 лет назад
10 лет назад