• Предмет: Математика
  • Автор: smachalin02
  • Вопрос задан 8 лет назад

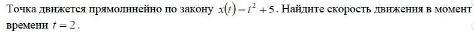
помогите решить, пожалуйста !!!

Приложения:

Ответы

Ответ дал: daria2992
0

Ответ:

производная равна 2т

производная от т=2, равна 2*2=4

Пошаговое объяснение:

Скорость равна производной от времени

Вас заинтересует