• Предмет: Алгебра
  • Автор: pv1roru
  • Вопрос задан 8 лет назад

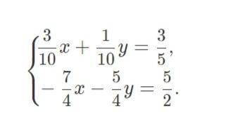
Преобразуйте систему линейных уравнений к более простому виду и решите её

Приложения:

Ответа на этот вопрос пока нет. Попробуйте найти его через форму поиска.

Вас заинтересует