• Предмет: Математика
  • Автор: aygulnosova
  • Вопрос задан 2 года назад

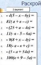
Добрый вечер! Пжл, помогите решить задание:Раскрой скобки.​

Приложения:

Аноним: 1. Тип определения культуры:
Функциональный
Характерные признаки:..........
Примеры различных типов культуры:........
2. Тип определения культуры:
Описательный
Характерные признаки:........
Примеры различных типов культуры:........
Аноним: Помоги пожалуйста

Ответы

Ответ дал: Amaimoon
1

Ответ:

1)-4(5-x-6y)=-20+4x+24y\\2)81(a+b-c)=81a+81b-81c\\3)-(25+a-4b)=-25-a+4b\\4)11(-b-5-6a)=-11b-55-66a\\5)-9(8+x-4y)=-72-9x+36y\\6)18(-a-b+c)=-18a-18b+18c\\7)-(5-a+54b)=-5+a-54b\\8)100(b+9-3a)=100b+900-300a


aygulnosova: Спасибо большое, оказывается все легко и просто!
Вас заинтересует