• Предмет: Математика
  • Автор: mnogozna4niq
  • Вопрос задан 8 лет назад

Найдите корень уравнения

Приложения:

Ответы

Ответ дал: shubinadiana2004
0

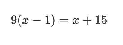
9(x - 1) = x + 15 \ 9x - 9 = x + 15 \ 9x - x = 15 + 9 \ 8x = 24 \ x = 3

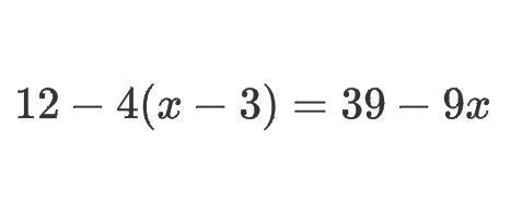
12 - 4(x - 3) = 39 - 9x \ 12 - 4x + 12 = 39 - 9x \  - 4x + 9x = 39 - 12 - 12 \ 5x = 15 \ x = 3

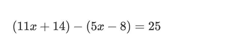
(11x +14)-(5x-8) =25

11x + 14 - 5x+8 = 25

6x=25-14-8

6x=3

x=0.5

Ответ дал: lera231168
0
Извините за почерк.Помогла?Сама не рада.
Приложения:
Ответ дал: mnogozna4niq
0
Да, спасибо
Вас заинтересует