• Предмет: Алгебра
  • Автор: viki0290
  • Вопрос задан 2 года назад

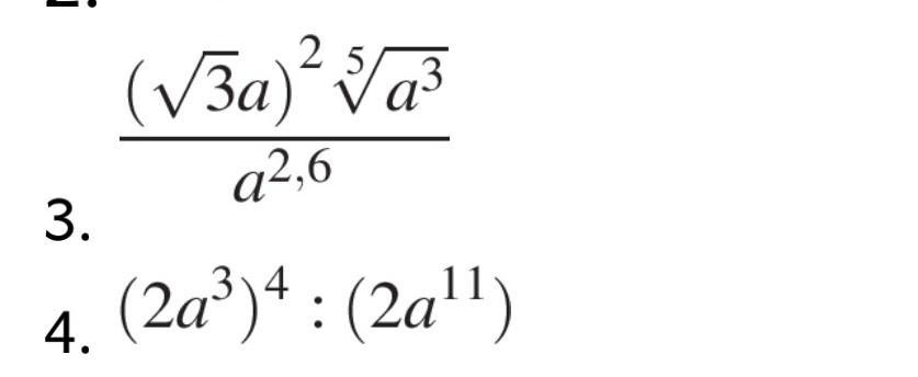
помагите с примерами​

Приложения:

Ответы

Ответ дал: yaaaaaaaaaaaaa11
0
3) ответ:3
4) ответ:8а
Вас заинтересует