• Предмет: Математика
  • Автор: Gfdguii
  • Вопрос задан 8 лет назад

Помогите прошу срооооооооооочно очень пожалуйста

Приложения:

Ответы

Ответ дал: maksim89204845
0

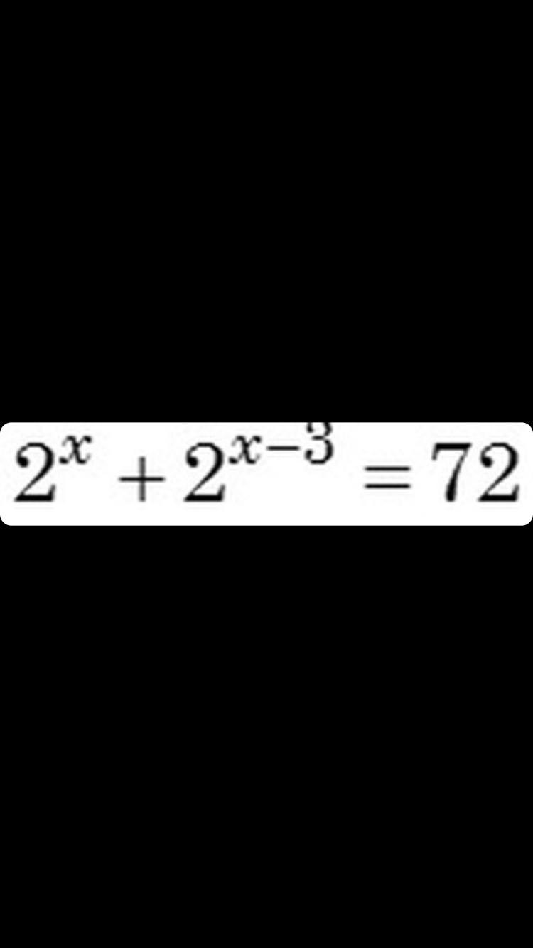
2{x}+2^{x-3}=72\(2^{3}+1)*2^{x-3} =72\(8+1)*2^{x-3} =72\9*2^{x-3} =72\2^{x-3}=8\2^{x-3}=2^{3}\ x-3=3\x=3+3\x=6

Ответ: 6.

Если что-то непонятно, спрашивай)

Вас заинтересует