Помогите пожалуйста!!
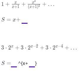
Найдите сумму геометрического ряда и определите множество значений x, для которых есть результат.
Приложения:

Ответа на этот вопрос пока нет. Попробуйте найти его через форму поиска.
Вас заинтересует
2 года назад
2 года назад
3 года назад
3 года назад
8 лет назад
8 лет назад
9 лет назад