• Предмет: Математика
  • Автор: antonina8555
  • Вопрос задан 8 лет назад

Помогите срочно плизз ​

Приложения:

Ответы

Ответ дал: alexfirex92
0

Ответ:

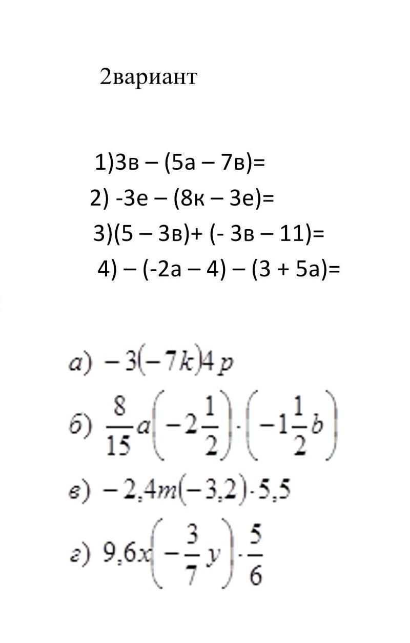
1) 10b - 5a

2) -8k

3) -6-6b

4) -3a+1

a) 84kp

b) 2ab

c) 44,24m

d) 5/6

Ответ дал: antonina8555
0
Спасибо, а ты можешь мне написать подробно? В 1 номере 2 пример, а во 2 номере 1,3,4. плиззз
Вас заинтересует