• Предмет: Математика
  • Автор: gausushha
  • Вопрос задан 8 лет назад

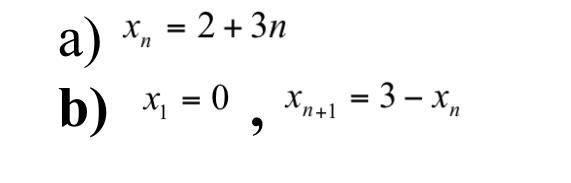
Вычислите первые четыре строки и определите монотонность сгенерированной строки!

Приложения:

Ответа на этот вопрос пока нет. Попробуйте найти его через форму поиска.

Вас заинтересует