• Предмет: Математика
  • Автор: gahahahah
  • Вопрос задан 8 лет назад

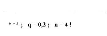
Вычисляет сумму первых n геометрической прогрессии

Приложения:

Ответы

Ответ дал: ivanovaveronika691
0

Пошаговое объяснение:

n4!

n4=b1*q^n-1

5*0,2^4-1

Вас заинтересует