Ответы
Ответ дал:
0
Ответ:
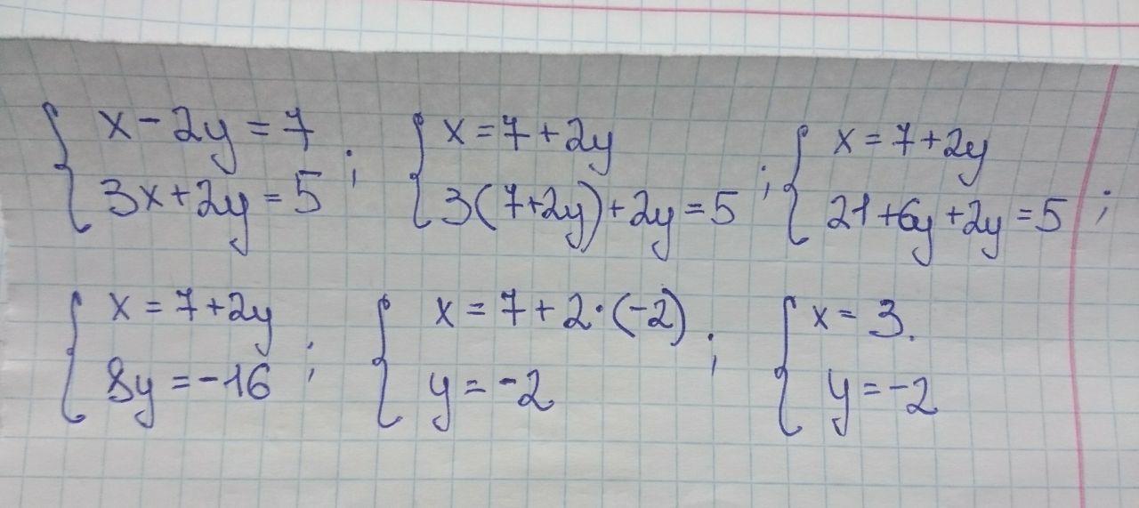
Да, имеет. Ответ: х=3, у=-2. Решение на фото.
Приложения:

Вас заинтересует
2 года назад
2 года назад
3 года назад
8 лет назад
9 лет назад