• Предмет: Математика
  • Автор: Maksfil186
  • Вопрос задан 8 лет назад

Помогите пожалуйста с 12 заданием

Приложения:

Ответы

Ответ дал: matematikL
0

Ответ:

Пошаговое объяснение:

вот и все

Приложения:
Ответ дал: borrov
0

Ответ:

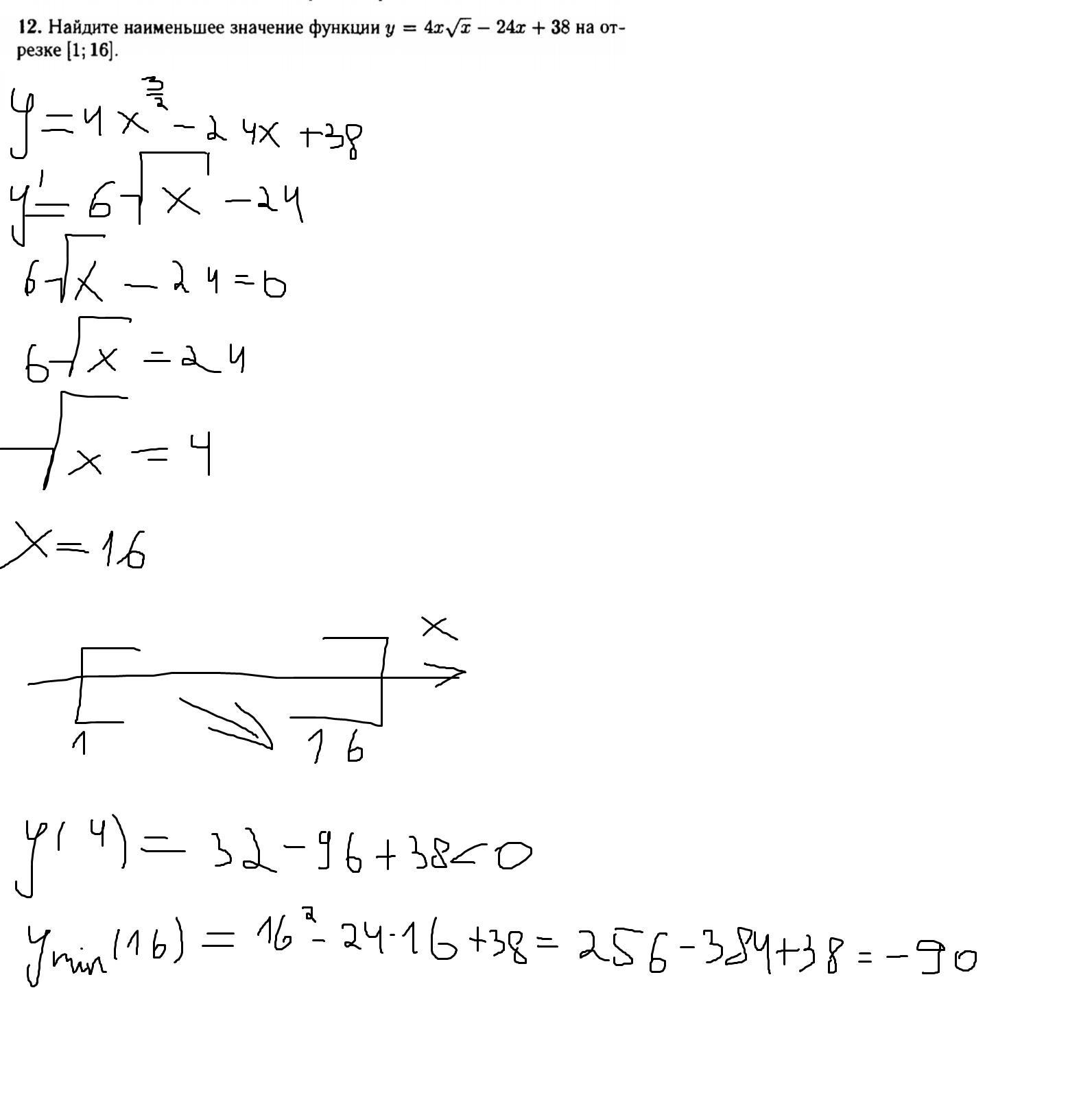
Найдём первую производную функции

dy = 6 sqrt{x }  - 24

Приравняем к нулю:

6 sqrt{x}  - 24 = 0 \ 6 sqrt{x}  = 24 \  sqrt{x}  = 4 \ x = 16

Вычислим значение функции

f(16) =  - 90 \ f(0) =  - 24 \ f(1) =  - 18

Соответственно наименьшее значение Функция принимает при х=16

f_min=-90

Приложения:
Вас заинтересует