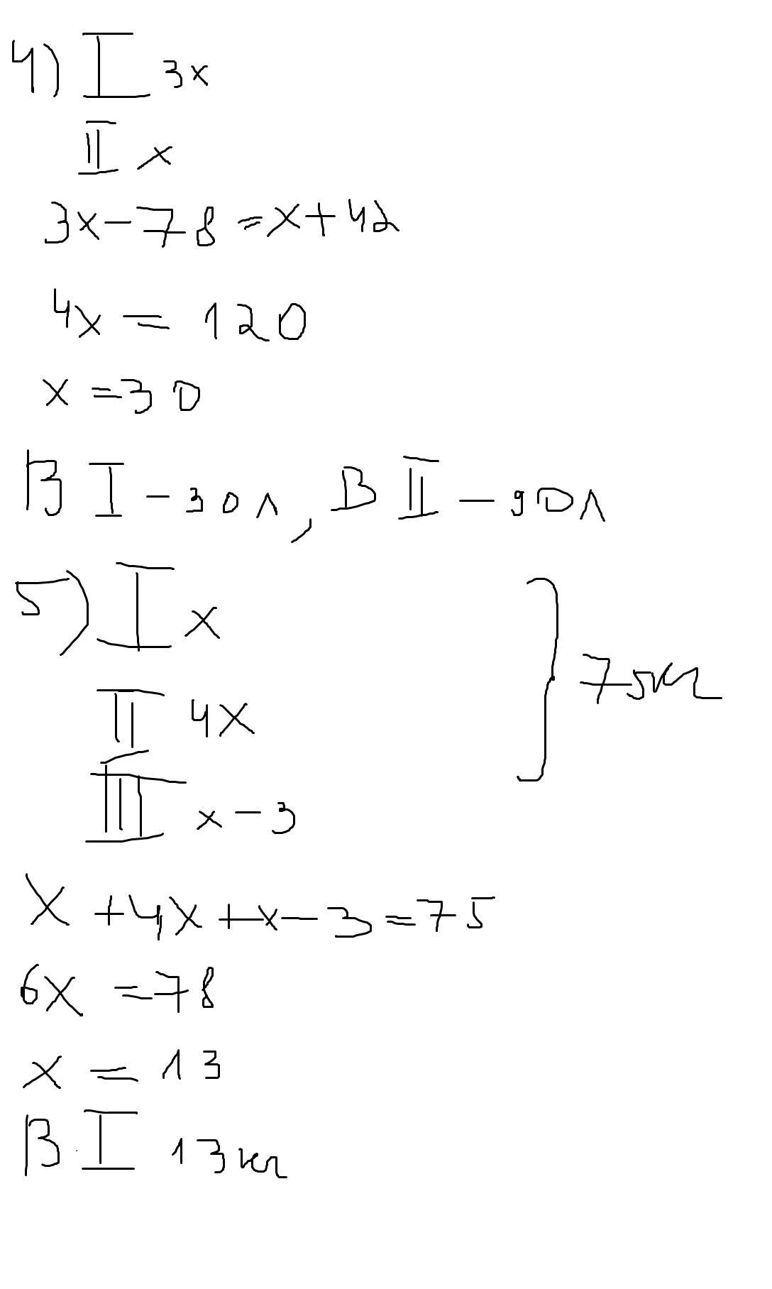
4. В одной бочке в 3 раза больше бензина, чем в другой. Если из первой бочки отлить 78 л бензина, а во вторую добавить 42 л, то бензина в бочках будет поровну. Сколько бензина было в каждой бочке?
5. В трех ящиках лежит 75 кг апельсинов. Во втором ящике апельсинов в 4 раза больше, чем в первом, а в третьем – на 3 кг меньше, чем в первом. Сколько килограммов апельсинов лежит в первом ящике?
Ответы
Ответ дал:
0
Ответ:
Пошаговое объяснение:
вот и все
Приложения:

Вас заинтересует
2 года назад
3 года назад
8 лет назад
9 лет назад