• Предмет: Математика
  • Автор: oollorolg
  • Вопрос задан 2 года назад

Раскрыть скобки и упростить
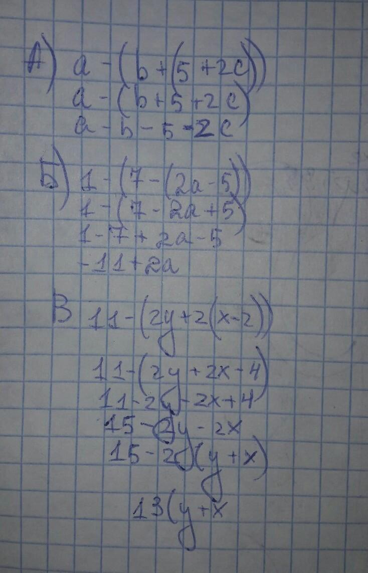
А). a-(b+(5+2c)
Б). 1-(7-(2a-5))
В). 11-(2y+2(x-2))

Ответы

Ответ дал: Slavchansky
0

вот...................

Приложения:
Ответ дал: Pepino
0

Ответ:

Пошаговое объяснение:

А). a - (b + (5 + 2c) = a - (b + 5 + 2c) = a - b - 5 - 2c

Б). 1 - (7 - (2a - 5)) = 1 - (7 - 2a + 5) = 1 - 7 + 2a - 5 = -11 + 2a

В). 11 - (2y + 2 * (x - 2)) = 11 - (2у + 2х - 4) = 11 - 2у - 2х + 4 = 15 - 2у - 2х = 15 - 2 * (у - х)

Вас заинтересует