• Предмет: Математика
  • Автор: aramerator
  • Вопрос задан 8 лет назад

помогите пожалуйста решить уровнение дай 48 баллов

Приложения:

Ответы

Ответ дал: enoviko164
0

Ответ:

...............................

Приложения:
Ответ дал: Эндер51
0

Пошаговое объяснение:

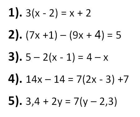
1) 3 (x-2) = x + 2

3x - 6 = x + 2

2x = 8

x = 4

2) (7x + 1) - (9x + 4) = 5

7x + 1 - 9x - 4 = 5

-2x = 8

2x = -8

x = -4

3) 5 - 2(x - 1) = 4 - x

5 - 2x + 2 = 4 - x

- x = - 3

x = 3

4) 14x - 14 = 7(2x - 3) + 7

14x - 14 = 14x - 21 + 7

x = 0

5) 3.4 + 2y = 7 (y - 2.3)

3.4 + 2y = 7y - 16.1

-5x = -19.5

x = 3.9

Приложения:
Вас заинтересует