• Предмет: Математика
  • Автор: vladiksinickih
  • Вопрос задан 8 лет назад

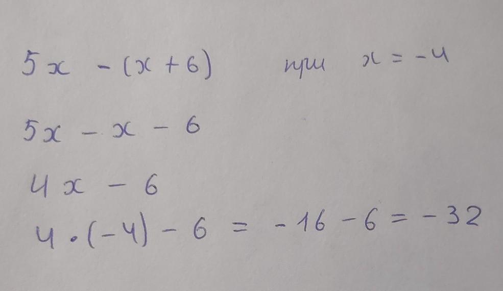
10 баллов!!!!!!!!! Найди значение выражения 5⋅x−(x+6) при x=−4.

Ответы

Ответ дал: ArtemTsukanov9iet
0

Ответ: -32

Решение на фото

Приложения:
Вас заинтересует