Алгебра. Напишу честно, просто решите эти примеры, потому что я тупой валенок, который просто не понял эту тему.
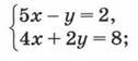
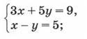
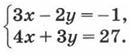
1) Способом подстановки: 2) Способом уравнивания коэффициентов: 3) Способом уравнивания коэффициентов:
Приложения:



Ответа на этот вопрос пока нет. Попробуйте найти его через форму поиска.
Вас заинтересует
2 года назад
2 года назад
3 года назад
3 года назад
8 лет назад
9 лет назад