• Предмет: Математика
  • Автор: ValakasikTop
  • Вопрос задан 8 лет назад

Помогите с математикой, пожалуйста. Уравнения!

Приложения:

Ответы

Ответ дал: AnnaKit12
0

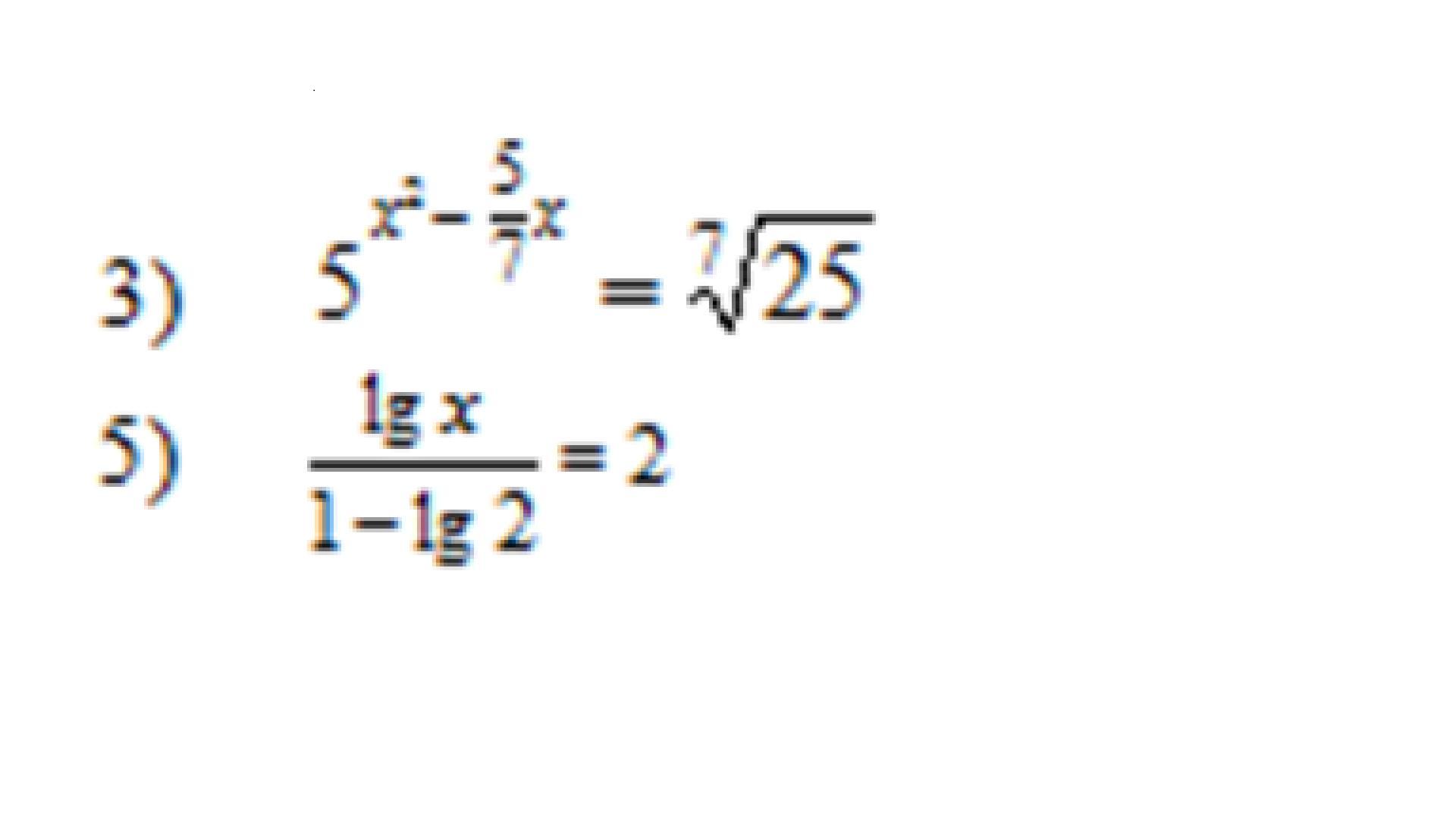
5^(x^2-5/7x)=5^2/7

x^2-5/7x=2/7

x^2-5/7x-2/7=0

D=(-5/7)2 - 4·1·(-2/7)=81/49

x1=1

x2=-2/7

lgx/(1-lg2)=2 x>0

lgx=2-2lg2

lgx=lg(10^2)+lg(2^(-2))

lgx=lg(10^2*2^(-2))

lgx=lg(5^2)

lgx=lg(25)

x=25

Ответ дал: ValakasikTop
0
Большое спасибо! Если не трудно, пожалуйста, помоги ещё немного, я новое задание добавил :D
Вас заинтересует